If r = radius of the four quarter circles then 2r is the length of the square.
\ Area of square = l2 = (2r)2 = 4r2
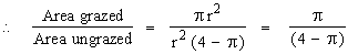
Area grazed = 4 quarters of a circle
= one full circle
= pr2
Area Ungrazed
= Total Area ( of square plot ) - Area grazed
= 4r 2 - pr2 = r2 ( 4 - p )

Hence D.
0 > x > -1 ( Same as -1 < x < 0 ) implies that x is a negative proper fraction. When it is squared it becomes positive but it still remains a proper fraction. i.e. 0 < x 2 < 1. Its reciprocal will be more than 1.
Hence D.
In the given problem, the length of the wire represents the perimeter of the square as well as the circumference of the circle. It is a geometrical property, that for a given fixed perimeter of a regular polygon, the area enclosed by it increases as the number of sides increases. As the number of sides are increased to infinity, the polygon becomes a circle and has the maximum area.
\ Ac > As
Hence D.
[next page]
|
Index
Test 1
Section 1 : Verbal Section
Section 2 : Quantitative Section
Section 3 : Analytical Section
Section 4 : Quantitative Section
Section 5 : Verbal Section
Section 6 : Analytical Section
Section 7 : Verbal Section
Answer Key To Test 1
Answer Explanation To Test 1
Section 1 : Verbal Section
Section 2 : Quantitative Section
Section 3 : Analytical Section
Section 4 : Quantitative Section
Section 5 : Verbal Section
Section 6 : Analytical Section
Section 7 : Verbal Section
Test
2
|