5.7 Properties of Similar triangles
Perimeters of similar triangles: Perimeters of similar triangles are in the same ratio as their corresponding sides and this ratio is called the scale factor.
In figure 5.6 there are two similar triangles . D LMN and D PQR.


Figure 5.6

This ratio is called the scale factor.
Perimeter of D LMN = 8 + 7 + 10 = 25
Perimeter of D PQR = 6 + 5.25 + 7.5 = 18.75

Thus, the perimeters of two similar triangles are in the ratio of their scale factor.
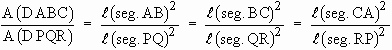
Areas of similar triangles: The ratio of the areas
of two similar triangles is equal to the ratio of the squares of
the corresponding sides, i.e. the square of the scale factor.


Figure 5.7
D ABC ~
D PQR
To
prove that
Draw perpendicular from A and P to meet seg.BC and seg.QR at D and S respectively.
Since D
ABC ~ D PQR
also Ð
B @
Ð Q
In D
ABD and D PQS
also Ð
B @
Ð
Q and Ð
ADB @
Ð PSQ
\
D
ABD ~
D
PQS by A A test.


Thus the areas of two similar triangles are in the same ratio as the square of their scale factors.
[next page]
|