|
9.5 Mid point Formula
Theorem : If the co-ordinates of the end points of a segment are (x1, y1) and (x2, y2), then the co-ordinates of the mid point of this segment is given by the formula :

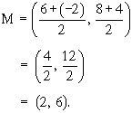
Example 1
Find the mid point of a segment if A is (6,8) and B is (-2, 4).
Solution :
Let (6, 8) be (x1, y1) and
(-2, 4) be (x2, y2).
Therefore their mid point M is given as :
 
Example 2
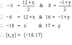
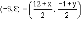
If the mid point of seg. AB is (-3, 8) and A is (12, -1), find co-ordinates of B.
Solution :
Let the co-ordinates of B be (x, y). According to the mid-point formula

Therefore
the co-ordinates of B are (-18, 17).
[next
page]
|