|
Example Solve and graph 3 | 2 - x | ³ 5
Solution : Isolating the absolute value as
3 | 2 - x | ³ 6
| 2 - x | ³ 2
Setting the contents of the absolute value portion for both + ve and - ve values as
( 2 - x ) ³ 2 and -( 2 - x ) ³ 2
( 2 - x ) ³ 2 and ( 2 - x ) £ -2
- x ³ 0 and - x £ - 4
x £ 0 and x ³ 4
Therefore, x £ 0 and x ³ 4 is the solution
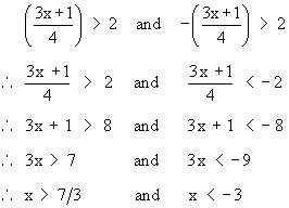
Example Solve and graph
Solution : Setting the contents of the absolute value portion for both positive and negative values as
. . . is the solution
We summarize as

For example, | 7 . 5 | = 7 . 5 since 7 . 5 > 0
and | - 6 | = - (- 6) = 6 since - 6 < 0
|
Index
7.1 Definition 7.2
Simultaneous Equations 7.3
Inequations (Inequalities) 7.4
Absolute Values
Chapter 8
|