|
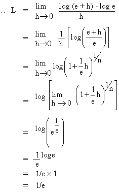
Example 8
Find

Solution : L = lim log x - 1. It
is
form
Put x - e = h
\ When x ® e, h ® 0 also put 1 = log e.

Example 9
Evaluate  
Solution : Now when x ®0+,
and when x® 0- ,

\ L1 =  
=

and L2 =

= 
= 0
So that L1 ¹ L2 i.e. left hand and right hand limits are not equal.
\

DNE .
**********
|
Index
2.1 Modulus
2.2 Inequalities
2.3 Limits Of Functions
2.4 Left Hand And Right Hand Limits
2.5 Theorems On The Algebra Of Limits
2.6 Evaluating Limits
2.7 Limits Of Trigonometric Functions
2.8 The Exponential Limits
Chapter 3
|