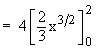
Example 1	Find the area of the region under the curve  y2 = 4x,  x-axis and from x  =  0   to  x  =  2. 
Solution :	Since   
  
       
       
       
       
       
Example 2	Find the area bound  by the curve  y  =  4 - x2 and the  x-axis. 
Solution :	The Parabola y  =  4 - x2  interests the x-axis at the points (-2,0) and (2,0) also            
               
               
        
Required area, 
  
       
       
  
      [next page] 
              
       | 
    
       Index 
      8.1 Introduction 8.2 Area 
      8.3 Volumes 
       8.4 Mean Value 
      8.5 Arc Length(Rectification)  
       
      Chapter 1
       
     |