Example 10 Show that the area bounded by the curve y = x3, the ordinate x = 2 and x-axis, is the area bounded by the curve y = 4x and y = x3 on the positive of x-axis.
Solution : (1) The area under y = x3 from x = 0 to x = 2 is


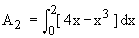
(2) Also, y = 4x and y = x2 i.e. x = 0, x = 2. Therefore the area enclosed between y = x3 and y = 4x is


 
\
A1 = A2
Example 11 Find the area bounded by y2 = 2x and x - y = 4
Solution : y2 = 2x and x - y = 4 Therefore we get y2 = 2y + 8 \
y2 - 2y - 8 = 0 \
( y - 4 ) ( y + 2 ) = 0 \
y = 4 and y = -2 Points of the intersection of the two curves are (8,4) and (2, -2). Now using the formula






Example 12 Find the area of the circle of radius ‘ a2 ’
Solution : Let the circle be x2 + y2 = a2. \
y = 
The circle intersects the x-axis at (a, 0) and (-a, 0) and y-axis at (o, a) and ( 0, -a). If we can find the area A1 w which is the portion of the circle representing the 1st quadrant, then using ‘ symmetry ’ are a of the whole circle is (4 times this area) , can be found.






  
[next page]
|