| CHAPTER 26 : D.C. & A.C.
CIRCUITS
26.1 (R-C) and (L-R) D.C. circuits


Thus the capacitor gets charged exponentially to the maximum charge
q0 = EC.
Now, from (2)

Thus the current decays exponentially. The action of the capacitor therefore can be regarded as a "close
circuit" at t = 0 and then gradually to an "open circuit" as t . This is also clear from a P.D. across R and
C.


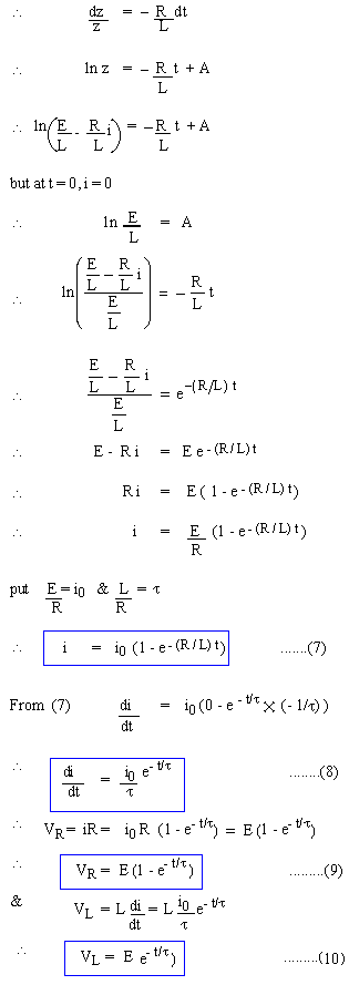
Inductance Resistance (L-R) circuit

The inductance will oppose the growth of current. Initially therefore i = 0 at t = 0 [comparing (b) with (1)


The current grows exponentially to a maximum from zero current initially. Thus an inductance action can
be considered to be "open circuit" at t = 0 and then gradually a "close circuit" as t

[next page]
|