|
10.4 The Phenomenon of Beats of Sound
When two vibrating objects (Sources of audible Sound) vibrate with slightly different frequencies at
a place far away - compared to the separation between the sources - from the sources the loudness
(intensity) of sound waves and waves periodically, this phenomenon is called Beats of Sound. The
beat frequency i.e., frequency of waxing and waning of sound is found to be equal to the positive
difference between the two interfering frequencies.
The equations of two waves from the two sources with the same amplitude of waves; with sources
very close to each other and to x- axis can be written as

Since the waves are traveling along the same direction i.e., X- axis, the superposition principle gives the resultant expression as,

[shifting the origin from sources to the point at distance 'x' does not alter the characteristics of
interfering waves]

is the resultant
amplitude of vibration at P, and
is the frequency with which the particle at P vibrates.
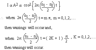
Now, waxing and waning correspondent to maximum and minimum intentity respectively, i.e. on
Therefore frequency of waxings or wanings is N = | n1 - n2|
The Phenomenon of Beats can be illustrated graphically also, as shown below :
Click here to enlarge
The above diagrams (a) and (b) shows the number of waves arriving from the two sources of
frequencies n1 and n2 at the position of the Listener over the interval of 1 sec. The diagram (c) represents the effect
of these superposed waves resulting into 4 maximas (waxings) and minimas (wanings) indicating that
beat frequency is N = n2 -n1 = |n1 - n2| in general. These diagrams are only illustrative ones, since n1, n2 < 20 Hz and N < 20 Hz, the sounds are inaudible to humans.
Click here to enlarge
|