free booknotes online

Help / FAQ


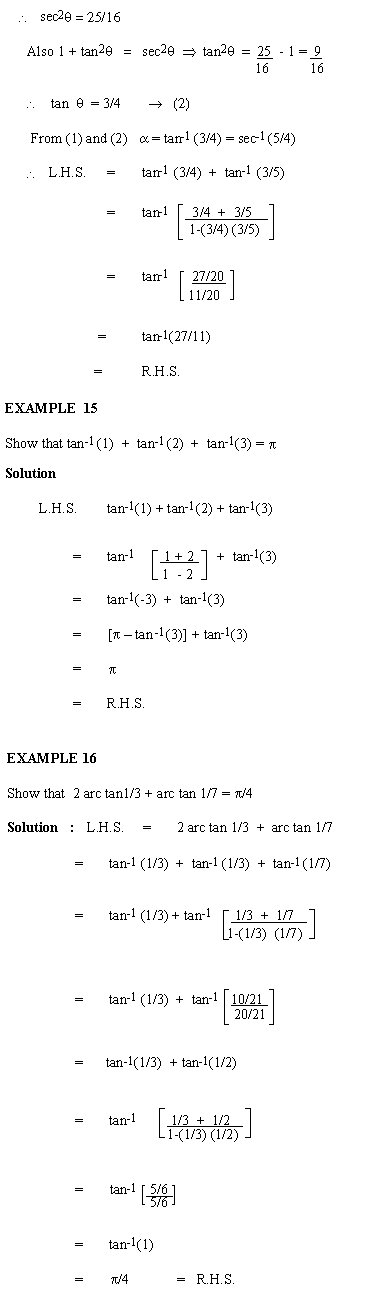
EXAMPLE 14

Prove that sec-1(5/4) + tan-1(3/5) = tan- 1(27/11)

Solution

Let sec-1 (5/4) =

sec = 5/4 (1)

[next page]

Index

6.1 Inverse Functions
6.2 Trignometric Equations
Supplementary Problems

Chapter 7

All Contents Copyright © All rights reserved.
Further Distribution Is Strictly Prohibited.


Search:
Keywords:
In Association with Amazon.com