|
Note (1) If then
will take the form
Note (2) can be put in alone by taking and squaring. Then we can solve
the equation
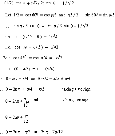
Solution
when compared with
We get 
Dividing by 2 to both the sides
[next page]
|
Index
6.1 Inverse Functions
6.2 Trignometric Equations
Supplementary Problems
Chapter 7
|