|
Now u = PO should be taken as negative and f = PF and v = PI should be taken
as positive (as per Cartesian co-ordinate system set up at P as the origin and
the axis of the mirror as the X-axis).

Note :
(i) In using Cartesian co-ordinate system sign convention,
the object distance (real object) is always negative.
(ii) Similarly virtual image distance is always positive and
real image distance is always negative.
(iii) Focal length of concave mirror is negative and that of
convex mirror is positive.
(iv) Light is always incident from left to right.
(v) The formula is applicable to concave, convex and even plane mirror. For plane mirror the radius of curvature is a , therefore the focal length is also infinite and hence
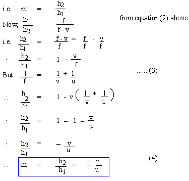
Linear magnification : m
It is defined as the ratio of the height of image (h2) to the height
of the object,
Note : (i) For real object h1 > 0, u < 0
(ii) For real image h2 < 0, v < 0
(iii) For virtual image h2 > 0, v > 0
(iv) For plane mirror
(v) For concave mirror
|