5.7	Properties of  Similar triangles  
	Perimeters of  similar triangles: Perimeters of similar triangles are in the same ratio as their corresponding sides and this ratio is called the scale factor. 
	In figure 5.6 there are two similar triangles .  D LMN  and  D PQR. 
  
  
Figure 5.6 
  
	This ratio is called the scale factor. 
	Perimeter of  D LMN  =  8 + 7 + 10  =  25 
	Perimeter of  D PQR  =  6 + 5.25 + 7.5  =  18.75 
  
						         
						         
	Thus, the  perimeters  of   two similar triangles are in the ratio of their scale factor.  
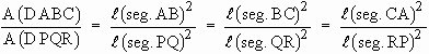
            	Areas of similar triangles: The ratio of the areas 
              of two similar triangles is equal to the ratio of the squares of 
              the corresponding sides, i.e. the square of the scale factor. 
  
  
Figure 5.7 
            	D ABC  ~ 
              D PQR 
              
             	To 
              prove that  
	Draw perpendicular from  A  and  P  to meet  seg.BC  and  seg.QR  at  D  and  S  respectively. 
            	Since D 
              ABC ~ D PQR 
 
            	also Ð 
              B @ 
              Ð Q 
            	In D 
              ABD and D PQS 
            	also Ð 
              B @ 
              Ð 
              Q and Ð 
              ADB @ 
              Ð PSQ 
            	\ 
              D 
              ABD ~ 
              D 
              PQS by A A test.  
            
  
  
  
Thus the areas of two similar triangles are in the same ratio as the square of their scale factors. 
[next page]
  
     |