Click here to enlarge
Example 49
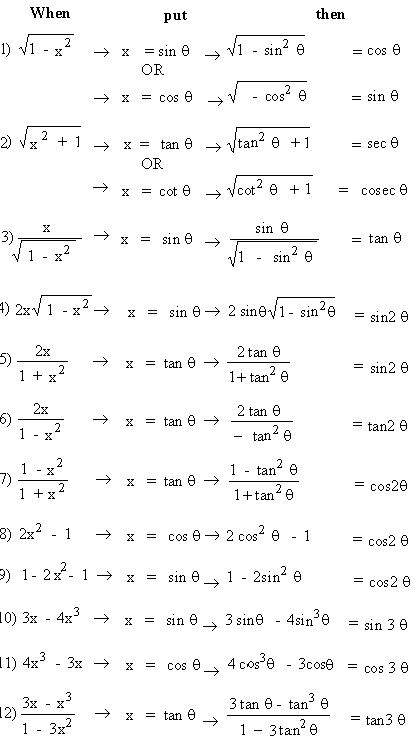
Differentiate
Solution : 
|
Index
4. 1 Derivability
At A Point
4. 2 Derivability In An Interval
4. 3 Derivability And Continuity Of A Function
At A Point
4. 4 Some Counter Examples
4. 5 Interpretation Of Derivatives
4. 6 Theorems On Derivatives (differentiation
Rules)
4. 7 Derivatives Of Standard Functions
4. 8 Derivative Of A Composite Function
4. 9 Differentiation Of Implicit Functions
4.10 Derivative Of An Inverse Function
4.11 Derivatives Of Inverse Trigonometric Functions
4.12 Derivatives Of Exponential & Logarithmic
Functions
4.13 Logarithmic Differentiation
4.14 Derivatives Of Functions In Parametric
Form
4.15 Higher order Derivatives
Chapter
5
|