free booknotes online

Help / FAQ



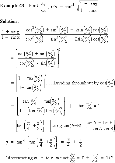
Note : Sometimes it is very easy to evaluate the derivative of an inverse trigonometric function by a proper substitution. The following formulae gives us a clear understanding for such substitutions.

Index

4. 1 Derivability At A Point
4. 2 Derivability In An Interval
4. 3 Derivability And Continuity Of A Function At A Point
4. 4 Some Counter Examples

4. 5 Interpretation Of Derivatives
4. 6 Theorems On Derivatives (differentiation Rules)
4. 7 Derivatives Of Standard Functions
4. 8 Derivative Of A Composite Function
4. 9 Differentiation Of Implicit Functions

4.10 Derivative Of An Inverse Function
4.11 Derivatives Of Inverse Trigonometric Functions
4.12 Derivatives Of Exponential & Logarithmic Functions
4.13 Logarithmic Differentiation
4.14 Derivatives Of Functions In Parametric Form
4.15 Higher order Derivatives

Chapter 5





All Contents Copyright © All rights reserved.
Further Distribution Is Strictly Prohibited.

291293 PinkMonkey users are on the site and studying right now.